Theo Phòng Cảnh sát giao thông, Công an tỉnh Bắc Ninh thông báo, qua hệ thống camera giám sát và tuần tra kiểm soát, lực lượng chức năng đã ghi nhận 696 trường hợp vi phạm giao thông từ ngày 19/9/2025 đến 25/9/2025.
Danh sách cụ thể như sau:
I. Ô TÔ: 390 trường hợp
1. Không chấp hành hiệu lệnh của đèn tín hiệu giao thông: 39 trường hợp

Ảnh: Cổng Thông tin điện tử tỉnh Bắc Ninh
2. Quay đầu xe ở phần đường dành cho người đi bộ qua đường: 01 trường hợp
99B-064.73.
3. Không chấp hành hiệu lệnh, chỉ dẫn của vạch kẻ đường: 111 trường hợp

Ảnh: Cổng Thông tin điện tử tỉnh Bắc Ninh
4. Điều khiển xe chạy quá tốc độ quy định: 216 trường hợp

Ảnh: Cổng Thông tin điện tử tỉnh Bắc Ninh

Ảnh: Cổng Thông tin điện tử tỉnh Bắc Ninh
5. Rẽ trái tại nơi có biển cấm: 22 trường hợp

Ảnh: Cổng Thông tin điện tử tỉnh Bắc Ninh
II. MÔ TÔ: 306 trường hợp
1. Không chấp hành hiệu lệnh của đèn tín hiệu giao thông: 38 trường hợp
98E1-788.91; 20B1-727.21; 98F1-033.24; 98F1-217.14; 98H1-868.68; 98B2-639.29; 98B3-099.75; 98F1-271.21; 98B3-816.75; 98D1-854.69; 98B3-915.38; 98B2-449.24; 99E1-589.65; 99MĐ5-020.99; 99Y1-4691; 99E1-397.46; 99E1-173.87; 99E1-416.80; 99E1-620.69; 99MĐ5-062.78; 99G1-652.08; 99AA-101.56; 37K2-550.36; 36B4-542.65; 37K2-550.36; 99E1-500.41; 99E1-654.76; 99T2-4324; 12K8-6805; 99B1-433.30; 98E1-259.75; 99E1-160.54; 99G1-232.86; 99G1-232.86; 99E1-395.09; 99E1-397.46; 99AE-072.13; 99AE-068.40.
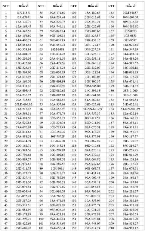
2. Không đội mũ bảo hiểm: 268 trường hợp
98B2-060.50; 98B1-388.45; 98K1-338.93; 98AE-074.72; 98B3-167.68; 98AA-081.16; 99H1-274.21; 98B3-684.36; 98L1-006.37; 98D1-939.10.
29Y1-490.45; 99B1-069.41; 29V1-091.48; 99AC-061.27; 99B1-197.64; 29N2-011.39; 98B3-091.89; 99B1-197.64; 99AC-023.63; 99B1-167.25; 99B1-485.95; 33L2-7523; 99B1-552.44; 29N1-940.63; 99B1-279.21; 99E1-540.90; 99B1-439.52; 99B1-335.78; 99AB-019.00; 99AB-046.64; 99B1-270.80; 99AA-314.43; 38N1-119.07; 99B1-372.19; 29L1-294.47; 99AD-057.98; 29T3-0886; 98B1-783.49; 99B1-002.76; 99B1-357.11; 99AA-017.11; 29AA-218.76; 18B2-431.30; 99AB-074.79; 99B1-263.67; 99B1-308.94; 99L3-8234; 99B1-244.71; 20F1-679.51; 99AB-076.15; 99B1-497.56; 99B1-463.63; 29N2-013.41; 99B1-091.98; 29V7-319.17; 99AB-029.10; 99B1-281.30; 29N1-017.70; 29N1-834.89; 99E1-340.67; 99D1-505.71; 29N1-924.68;
99AB-056.07; 29AB-797.30; 99B1-521.32; 12D1-171.02; 99B1-425.99; 99C1-555.50; 99H5-4049; 29N1-792.76; 99B1-552.68; 99E1-340.67; 99D1-391.82; 99B1-401.59; 99S2-5516; 99B1-030.89; 99B1-420.34; 29D1-314.77; 99B1-343.56; 99B1-451.35; 99AB-079.39; 30Z9-2604; 29N1-705.69; 99B1-539.77; 99B1-319.55; 99AE-031.43; 99B1-401.08; 29V3-030.96; 29T4-9045; 99B1-538.73; 99S1-0920; 29L4-7428; 99L1-0187; 99C1-004.65; 29E1-177.53; 99B1-510.58; 99C1-597.13; 29N1-166.45; 99AB-052.40; 99B1-169.59; 98MĐ4-056.65; 99AA-262.44; 99C1-047.25; 89MĐ3-111.46; 29K1-184.56; 98B3-827.36; 99B1-422.43; 99B1-475.72; 22MĐ2-022.15; 99C1-424.96; 98M9-9086; 99AD-016.74; 29V9-2617; 99B1-297.29;

Ảnh: Phòng Cảnh sát giao thông Công an tỉnh Bắc Ninh
29L5-006.86; 99G1-299.50; 34L1-022.23; 29F1-181.72; 99L1-6099; 99B1-513.28; 29S2-039.91; 29S2-176.62; 29N1-092.76; 99G1-613.82; 99B1-144.90; 99B1-377.46; 99B1-249.42; 98Y5-4036; 99B1-322.36; 99F1-435.94; 99H4-8226; 99B1-238.57; 99B1-437.18; 99B1-323.36; 99B1-534.10; 99AB-075.69; 99B1-494.72; 99D1-466.88; 99B1-220.38; 12S1-136.10; 29T1-815.99; 99B1-556.94; 36AL-059.70; 99B1-262.94; 99B1-326.67; 30Z9-6737; 29AH-089.03; 99AB-060.59; 99AB-050.85; 99B1-194.28; 99AB-086.59; 29K1-379.85; 99AA-132.07;
99AB-027.28; 99B1-394.54; 99F8-7781; 99B1-550.62; 98F1-153.72; 99H1-354.47; 99AB-062.68; 99B1-343.83; 99AB-062.68; 99B1-493.49; 29T1-670.81; 30X8-5509; 99B1-209.16; 99B1-131.05; 30F2-1250; 99B1-233.71; 99MĐ3-048.75; 99AB-062.33; 99AB-062.33; 99B1-149.96; 29Z1-406.47; 54T5-8865; 99B1-449.34; 99AD-024.13; 99K1-353.59; 99AB-078.49; 29Y1-490.45; 99H1-182.42; 99B1-485.95; 99AB-078.49; 99B1-335.78; 29AA-591.90; 30F6-3500; 99B1-485.95; 98D1-115.01; 29T2-055.89; 99F8-2863; 99C1-553.27; 30L6-2374; 99E1-445.69; 99B1-336.21; 29AH-067.80; 79N1-994.44; 99G1-594.04; 99H7-1477; 34B4-065.60;
99G1-694.46; 29F1-477.10; 29L1-294.47; 99AB-080.59; 99B1-129.84; 99B1-532.71; 99B1-432.00; 99B1-223.51; 89H4-8482; 99MĐ2-055.18; 99AB-075.01; 99D1-397.29; 30L8-0541; 99F2-4466; 99C1-473.46; 37K1-243.19; 99AB-074.79; 34C1-164.39; 35B2-183.59; 99B1-551.31; 99AB-024.64; 99B1-391.43; 99AB-050.85; 99B1-037.88; 29S6-625.96; 99AC-041.76; 29G1-759.01; 99D1-184.49; 99C1-444.66; 99B1-006.13; 99B1-502.25; 89B1-369.68; 99F2-6468; 99AB-044.39;
18L1-442.09; 99B1-071.33; 99AD-034.60; 99B1-456.89; 29AH-068.64; 29AN-062.38; 99B1-394.71; 99C1-290.25; 99D1-544.45; 99B1-484.94; 29D1-701.22; 99D1-555.06; 99B1-137.86; 99B1-456.53; 99B1-332.11; 99AA-167.52; 30L8-0541; 29N1-689.36; 99B1-333.47; 29X2-079.61; 99B1-409.58; 99B1-496.79; 20H1-627.47; 99B1-543.35; 29N1-894.50; 29N1-446.91; 99AD-057.01; 99B1-405.08; 99G1-297.15; 29N1-939.20; 99D1-467.56; 99B1-559.72; 29AE-073.26; 99D1-577.32; 29D1-022.61.
Chủ phương tiện vi phạm khi đến trụ sở Phòng Cảnh sát giao thông Công an tỉnh Bắc Ninh để giải quyết, mang theo đầy đủ giấy tờ: Căn cước công dân; Giấy phép lái xe; Đăng ký xe; Giấy chứng nhận kiểm định (đối với ô tô); Giấy chứng nhận bảo hiểm trách nhiệm dân sự.
Theo: Phòng Cảnh sát giao thông Công an tỉnh Bắc Ninh, Cổng Thông tin điện tử tỉnh Bắc Ninh
Lấy link